
L’acido alfa-lipoico (ALA) rappresenta uno dei composti naturali più affascinanti e versatili nel panorama della integrazione alimentare e terapeutica per il trattamento delle malattie croniche legate ad alti livelli di stress ossidativo. Definito dai ricercatori come “l’antiossidante degli antiossidanti”, questo composto si distingue per le sue proprietà uniche che lo rendono efficace in ogni compartimento cellulare, offrendo una protezione completa contro i danni ossidativi che stanno alla base di numerose patologie croniche.
- Le caratteristiche uniche dell’acido alfa-lipoico
- Acido alfa-lipoico come antiossidante
- Attività antinfiammatoria dell’acido alfa-lipoico
- Acido alfa-lipoico come agente neuroprotettivo
- Farmacocinetica dell’acido alfa-lipoico
- Forme farmaceutiche e biodisponibilità dell’acido alfa-lipoico
- Uno sguardo alle applicazioni cliniche
- Conclusioni
- Riconoscimenti
L’acido alfa-lipoico (ALA) è un composto organico solforato che riveste un ruolo fondamentale nel metabolismo energetico e nella protezione antiossidante delle cellule.
Nonostante decenni di ricerca abbiano progressivamente svelato le straordinarie potenzialità di questa molecola, solo negli ultimi anni la comunità scientifica ha iniziato a comprendere appieno la complessità e la raffinatezza dei meccanismi d’azione dell’acido alfa-lipoico.
Una recente e approfondita review pubblicata su Antioxidants nel 2024 da Fabiana Superti e Rosario Russo ha fornito una panoramica sistematica dei meccanismi molecolari attraverso cui l’ALA esercita i suoi molteplici benefici sulla salute umana, con particolare focus sulle condizioni associate allo stress ossidativo cronico. La nostra panoramica su questa molecola prende spunto da questo studio.
Superti, F., & Russo, R. (2024). Alpha-Lipoic Acid: Biological Mechanisms and Health Benefits. Antioxidants, 13(10), 1228. https://doi.org/10.3390/antiox13101228
Le caratteristiche uniche dell’acido alfa-lipoico
L’acido alfa-lipoico, noto anche come acido tiotico o acido ditioctanoico, è una molecola solforata prodotta nei mitocondri, isolata per la prima volta nel 1951 (Reed, L.J. et al, 1951). Svolge un ruolo cruciale nel metabolismo energetico mitocondriale, dove agisce in primo luogo come cofattore essenziale nel ciclo di Krebs, ed inoltre esercita funzioni protettive sulla funzione mitocondriale legate alle sue proprietà antiossidanti.
Inoltre L’ALA, caratterizzato da un eccellente assorbimento intestinale e dalla capacità di superare la barriera emato-encefalica, è in grado di esercitare le sue straordinarie capacità antiossidanti anche in chiave sinergica, potenziando cioè l’efficacia di altri composti antiossidanti endogeni ed esogeni (come la vitamina E, la vitamina C e il coenzima Q10).
In virtù di queste caratteristiche farmacologiche uniche, trova impiego come integratore nutraceutico e agente terapeutico nel trattamento di patologie croniche caratterizzate da elevati livelli di stress ossidativo.
In natura, le concentrazioni più elevate di ALA si riscontrano nei tessuti animali caratterizzati da intensa attività metabolica, quali miocardio, parenchima epatico e tessuto renale [3]. Nel regno vegetale, gli spinaci rappresentano la fonte più ricca di ALA, seguiti da broccoli, pomodori, piselli, cavoletti di Bruxelles e cereali come il riso [4,5].
Tuttavia, l’assorbimento gastrointestinale da queste matrici alimentari risulta limitato, non garantendo concentrazioni plasmatiche significative di ALA biodisponibile (Shay, K.P. et al, 2009)
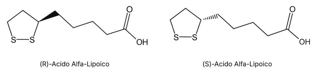
Struttura molecolare e chiralità dell’acido alfa-lipoico
Chimicamente, l’ALA presenta un atomo di carbonio (quello in posizione 6) “asimmetrico”, legato a quattro gruppi diversi tra loro, cioè contiene un cosiddetto “centro chirale”. Questo rende la molecola otticamente attiva. Che vuol dire? Che le due immagini speculari dell’ ALA non sono sovrapponibili, ed esistono due enantiomeri:
- (R)-Acido Alfa-Lipoico: forma naturale, biosintetizzata nei mitocondri
- (S)-Acido Alfa-Lipoico: prodotto solo sinteticamente

Perché è così importante questo centro chirale? Perché le interazioni biologiche (con enzimi o recettori) sono stereoselettive. Solo l’enantiomero “giusto” (R) si adatta correttamente al “sito attivo” dell’enzima, come una chiave nella sua serratura. La forma S può essere meno attiva o addirittura interferire con l’attività del R-ALA.
Per questo motivo, solo l’enantiomero R è biologicamente attivo nell’uomo, essendo il substrato riconosciuto da enzimi mitocondriali (come le deidrogenasi), con migliore assorbimento e biodisponibilità.
Proprietà anfifile e versatilità cellulare
L’ALA presenta una struttura molecolare anfifila, ossia dotata di regioni sia idrofile (solubili in acqua) che lipofile (solubili nei grassi): la catena carboniosa alifatica (lineare, non ciclica) conferisce carattere lipofilo, mentre il gruppo carbossilico (-COOH) e l’anello disolfuro impartiscono proprietà idrofile.
Questa caratteristica lo distingue nettamente dalla maggior parte degli altri antiossidanti, i quali sono generalmente attivi solo in un singolo tipo di ambiente cellulare.
La natura anfifila dell’ALA gli consente di attraversare facilmente sia i compartimenti acquosi del citoplasma che gli ambienti lipidici delle membrane cellulari, garantendo una protezione antiossidante completa e distribuita uniformemente all’interno della cellula.
Acido alfa-lipoico come antiossidante
Il sistema redox ALA/DHLA
Ciò che rende l’acido alfa-lipoico così speciale è la sua esistenza in due forme complementari e interconvertibili che lavorano in sinergia: la forma ossidata (acido alfa-lipoico, ALA) e quella ridotta (acido diidrolipoico, DHLA), nella quale la struttura ad anello è rotta e i due atomi di zolfo legano un idrogeno ciascuno .
Quando l’ALA viene assunto o prodotto dall’organismo, può essere convertito nella sua forma ridotta, l’acido diidrolipoico DHLA, attraverso processi enzimatici naturali. Questa coppia redox ALA/DHLA possiede un potenziale di riduzione standard di -0,32 V, valore che le conferisce la capacità di partecipare efficacemente alle reazioni di ossido-riduzione cellulari.

Questa dualità chimica fa dell’acido alfa-lipoico e della sua controparte ridotta DHLA due dei principali più potenti antiossidanti presenti in natura (Wollin, S.D et al, 2003), che hanno dimostrato di combattere lo stress ossidativo estinguendo una varietà di specie reattive dell’ossigeno (ROS) in ambienti sia lipidici che acquosi, creando un sistema ciclico di protezione antiossidante che può agire in modo continuo e autorigenerante, massimizzando l’efficacia protettiva nel tempo.
Il DHLA dimostra una superiore efficacia antiossidante rispetto alla forma ossidata, manifestando una particolare abilità nel rigenerare altri antiossidanti endogeni cruciali come le vitamine E e C. Questa caratteristica lo rende un componente fondamentale nella catena di protezione antiossidante dell’organismo.
Neutralizzazione delle Specie Reattive dell’Ossigeno (ROS)
Il sistema ALA/DHLA dimostra un’impressionante capacità di neutralizzare diverse specie reattive dell’ossigeno (ROS), sebbene con specificità diverse per ciascuna forma. Entrambe le molecole sono particolarmente efficaci contro i radicali idrossilici, tra i più dannosi per le strutture cellulari, e contro l’acido ipocloroso, prevenendo la formazione di proteine danneggiate che rappresentano un importante marker di stress ossidativo (Choudhary, P. et al, 2023; Shay, K.P. et al, 2009; Scott, B.C. et al, 1994)
Il DHLA si distingue per la sua particolare efficacia contro i radicali perossilici, operando sia nella fase membranosa che in quella acquosa senza necessità di cofattori aggiuntivi.
Interessante è il fatto che solo la forma ALA sia capace di reagire con l’ossigeno singlet (cioè con quella particolare forma di molecola di ossigeno che si trova in uno stato di maggiore energia, con una configurazione elettronica differente che la rende estremamente reattiva e desiderosa di riempire un orbitale vuoto per riacquistare la sua stabilità), formando specifici prodotti di reazione come tiosolfnati e tiosulfonati (Navarri-Izzo, F et al, 2002)
Il DHLA manifesta anche una notevole capacità nell‘inibizione della perossidazione lipidica, un processo degenerativo che può compromettere gravemente l’integrità delle membrane cellulari. Questa protezione è cruciale per mantenere la funzione di barriera delle membrane e preservare l’organizzazione cellulare.
Chelazione dei metalli pro-ossidanti
Un aspetto meno conosciuto ma altrettanto importante dell’azione dell’acido alfa-lipoico riguarda la sua capacità di chelare specifici metalli che possono catalizzare reazioni ossidative. Questi metalli (ferro, rame, manganese e altri) appartengono a una categoria chiamata “metalli di transizione”: sono elementi che, a differenza dei metalli più semplici, possiedono una struttura elettronica particolare che permette loro di assumere facilmente diverse cariche elettriche (stati di ossidazione). Proprio questa proprietà li rende “redox-attivi”: possono facilmente cedere ed acquisire elettroni, partecipando così a reazioni che generano radicali liberi dannosi per le cellule.
Grazie alla presenza di atomi di zolfo adiacenti e di un gruppo carbossilico nella struttura molecolare, sia ALA che DHLA possono legare metalli potenzialmente dannosi, impedendo loro di partecipare a reazioni ossidative.
Le due forme mostrano preferenze diverse: il DHLA può chelare un ampio spettro di metalli inclusi cobalto, nichel, cadmio, rame, zinco, piombo, mercurio e ferro ferrico; l’ALA, invece, mostra maggiore affinità per manganese, rame, zinco e piombo.
Questa capacità chelante previene la formazione di radicali liberi mediata da metalli e riduce significativamente il carico ossidativo cellulare, ed è particolarmente rilevante nella protezione del tessuto cerebrale, dove la rimozione di rame e ferro può ridurre significativamente i danni associati a patologie neurodegenerative come l’Alzheimer (Bush, A.I., 2002)
Rigenerazione degli antiossidanti endogeni
Una delle proprietà più straordinarie del sistema ALA/DHLA è la capacità di mantenere e ripristinare lo stato antiossidante cellulare attraverso la rigenerazione di altri antiossidanti. (Szelag, M. et al, 2012). Il DHLA può ridurre i radicali dell’acido ascorbico, ripristinando la forma attiva della vitamina C e mantenendo la sua capacità protettiva. Attraverso meccanismi indiretti, il sistema contribuisce anche alla rigenerazione della vitamina E e facilita l’ottimizzazione del sistema del coenzima Q10.

Effetti sul glutatione
Particolarmente significativo è l’effetto sul glutatione.
Il glutatione è un tripeptide naturale composto da acido glutammico, cisteina e glicina, che, grazie a questa particolare composizione chimica, rappresenta un importante antiossidante endogeno con elevata capacità ossido-riduttiva, riuscendo a proteggere proteine e altri composti ossidabili dall’azione tossica dei radicali liberi.
L’acido alfa-lipoico potenzia e mantiene i livelli cellulari di glutatione sia stimolando l’espressione dei geni che regolano la sintesi del glutatione, sia aumentando la disponibilità dei precursori necessari per la sintesi, promuovendo così un incremento dei livelli cellulari di questo prezioso tripeptide (Shay, K.P et al, 2008).
Attività antinfiammatoria dell’acido alfa-lipoico
L‘infiammazione rappresenta una reazione difensiva naturale dell’organismo di fronte a minacce potenziali, che ha lo scopo di eliminare gli agenti nocivi, salvaguardare i tessuti sani nelle vicinanze e attivare i processi di riparazione cellulare.
L’ALA esercita una potente azione anti-infiammatoria attraverso la modulazione di diverse vie di segnalazione cellulare. In particolare, inibisce l’attivazione del fattore nucleare kappa B (NF-κB), un importante fattore di trascrizione proinfiammatorio che regola numerosi geni coinvolti nell’infiammazione, riducendo l’espressione di citochine pro-infiammatorie come l’interleuchina-6 (IL-6), il fattore di necrosi tumorale-α (TNF-α) e l’interleuchina-1β (IL-1β) (Bilska, A, et al, 2005; Zhang, W.J. et al, 2001, Kim, H.S. et al, 2007).
Questa modulazione infiammatoria contribuisce significativamente agli effetti protettivi dell’ALA, poiché l’infiammazione cronica rappresenta un fattore chiave nella patogenesi di numerose malattie degenerative.
Acido alfa-lipoico come agente neuroprotettivo
Le neuropatie periferiche
Le neuropatie periferiche rappresentano un gruppo di disturbi caratterizzati da lesioni o malfunzionamenti del sistema nervoso periferico. Queste condizioni si dividono in
- mononeuropatie, che colpiscono un singolo nervo, come la paralisi di Bell del nervo facciale, che provoca la paralisi facciale, o la sindrome del tunnel carpale (Osiak, K. et al, 2022), dovuta principalmente alla compressione e al danno meccanico del nervo mediano che ne provoca ischemia e demielinizzazione, e
- polineuropatie, che interessano più nervi simultaneamente, e tra le cui cause principali includono diabete, disfunzioni tiroidee, carenza di vitamina B12, alcolismo, chemioterapia e infezioni virali come l’HIV, mentre circa un terzo dei casi rimane di origine sconosciuta (e si classificano come idiopatici).
Come trattare le neuropatie periferiche?
Il trattamento convenzionale, previsto dalle linee guida sulla neuropatia della Federazione Europea delle Società Neurologiche (Attal, N. et al, 2010), si basa principalmente su farmaci sintomatici:
- trattamento di prima linea: pregabalin, gabapentin, duloxetina, antidepressivi triciclici e venlafaxina,
- terapia di seconda linea: oppioidi e tramadolo.
Tuttavia non esistono terapie specifiche approvate per migliorare il decorso della malattia.
Gli obiettivi terapeutici si concentrano sul controllo dei problemi metabolici, la riparazione dei nervi, la riduzione dello stress ossidativo e il miglioramento della microcircolazione e degli altri sintomi clinici. Tali obiettivi richiedono l’uso di sostanze nutraceutiche scientificamente validate.
Perchè il sistema nervoso risente tanto del danno ossidativo?
Il sistema nervoso risulta particolarmente vulnerabile al danno ossidativo per diverse ragioni (Cobley, J.N. et al, 2018):
- il cervello consuma elevate quantità di ossigeno,
- contiene una gran quantità di acidi grassi polinsaturi facilmente ossidabili e
- presenta bassi livelli di catalasi antiossidante.
La distribuzione degli enzimi protettivi è inoltre asimmetrica:
- la superossido dismutasi si concentra nei neuroni (Chidambaram, S.B. et al, 2024), mentre
- la glutatione perossidasi, invece, negli astrociti (Damier, P. et al, 1993; Takahashi, S. et al, 2022)
Ciò, di conseguenza, rende i neuroni particolarmente suscettibili al perossido di idrogeno e alla formazione di specie reattive dell’ossigeno (ROS). In particolare, la deplezione del glutatione, osservata in condizioni come l’ischemia cerebrale (Zhang, R. et al, 2022) e il Parkinson (Bjørklund, G. et al, 2021), contribuisce significativamente al danno neurologico.
Come agisce l’acido alfa-lipoico?
L’acido alfa-lipoico (ALA) e la sua forma ridotta (DHLA) emergono come agenti neuroprotettivi ideali grazie alle loro proprietà uniche:
- agiscono sia nell’ambiente intracellulare che extracellulare
- rigenerano antiossidanti come le vitamine C ed E
- aumentano i livelli di glutatione intracellulare
- attraversano facilmente la barriera emato-encefalica (Khan, H. et al, 2022)
- il DHLA potenzia inoltre l’attività della colina acetiltransferasi, enzima cruciale per le funzioni cognitive (Molz, P. et al, 2017).
Sul fronte antinfiammatorio, ALA e DHLA:
- inibiscono gli inflammasomi neurali
- riducono mediatori pro-infiammatori come IL-2, interferone-γ e TNF-α
- aumentano citochine antinfiammatorie come l’IL-10
- modulano i fattori di trascrizione Nrf2 e NF-κB
Questa azione multi-target rende l’acido alfa-lipoico un agente neuroprotettivo “ad ampio spettro” particolarmente promettente per il trattamento di disturbi neurologici come la neuropatia diabetica e la sclerosi multipla.
Pubblicità
Farmacocinetica dell’acido alfa-lipoico
Assorbimento rapido, ma meglio a digiuno
L’acido alfa-lipoico assunto per via orale viene assorbito nell’intestino tenue, e raggiunge concentrazioni plasmatiche massime entro 30-60 minuti dall’ingestione, indicando un rapido assorbimento (Gleiter, C.H. et al, 1996)
L’assunzione contemporanea di cibo può ridurre significativamente la biodisponibilità, probabilmente a causa del rallentamento dello svuotamento gastrico e delle interazioni con i componenti alimentari. Per ottimizzare l’assorbimento, è preferibile assumere l’integratore a stomaco vuoto, poiché il pH acido favorisce l’assorbimento attraverso la mucosa gastrica (Salehi, B. et al, 2019).
Una volta assorbito, l’acido alfa-lipoico viene trasportato nel sangue legato principalmente all’albumina. La sua natura anfipatica gli consente di attraversare efficacemente le membrane cellulari, distribuendosi in vari tessuti con particolare affinità per fegato, cuore e muscolo scheletrico.
Fondamentale per gli effetti neuroprotettivi è la sua capacità di attraversare la barriera emato-encefalica, raggiungendo il sistema nervoso centrale.
Rapido catabolismo ed escrezione
Dopo il suo assorbimento nei tessuti, LA è soggetto a un ampio catabolismo, che comprende la degradazione a vari livelli della catena laterale carbonio e/o la mono e bismetilazione dei gruppi sulfidrilici. Oltre a questo catabolismo, una parte dell’ALA viene ridotta a acido diidrolipoico (DHLA), che, come visto, può esercitare effetti terapeutici.
L’acido alfa-lipoico e tutti questi suoi cataboliti vengono prontamente escreti, principalmente nelle urine. Così l’ALA, sia da fonti alimentari che come integratore alimentare, viene prontamente assorbito, metabolizzato ed escreto, e, di conseguenza, la ritenzione di acido alfa-lipoico libero nei tessuti, nello stato post-alimentazione, è trascurabile (Biewenga GP et al)
Profilo di sicurezza ed effetti collaterali dell’acido alfa-lipoico
Studi farmacocinetici hanno dimostrato che le formulazioni di acido alfa-lipoico racemica da 600 mg presentano rapido assorbimento, breve emivita e bassa tossicità (Mignini, F. et al, 2011). Le ricerche hanno confermato che questa dose, disponibile sia in compresse che in capsule softgel, offre un eccellente profilo di sicurezza insieme a rapido assorbimento e buona biodisponibilità, evidenziando l’importanza di formulazioni che permettano alla molecola di raggiungere concentrazioni cellulari ottimali nel minor tempo possibile (Mignini, F. et al, 2012).
L’acido alfa-lipoico presenta effetti collaterali generalmente lievi e transitori. Gli eventi avversi più comunemente riportati includono:
- Disturbi gastrointestinali lievi (nausea, dispepsia)
- Occasionali eruzioni cutanee
- Ipoglicemia in pazienti diabetici (richiede monitoraggio)
La tollerabilità è generalmente buona anche a dosi elevate (>600 mg/die), rendendo l’ALA adatto per utilizzi terapeutici prolungati.
Forme farmaceutiche e biodisponibilità dell’acido alfa-lipoico
Perchè un integratore di ALA è la fonte migliore?
Le fonti dietetiche tipiche di acido alfa-lipoico sono carni (muscolo), cuore, reni e fegato e, in misura minore, frutta e verdura.
Non è probabile tuttavia che, attraverso queste fonti naturali, quantità apprezzabili di ALA siano assunte nella tipica dieta occidentale; piuttosto, gli integratori alimentari che in genere vanno da 50 a 600 mg ne sono le fonti principali, e la maggior parte delle informazioni sulla sua biodisponibilità provengono da studi che utilizzano integratori.
L’acido alfa-lipoico è disponibile sul mercato in diverse formulazioni orali: compresse rivestite (tipicamente 600 mg), capsule morbide (300-600 mg), capsule rigide (200 mg), polveri e soluzioni acquose.
L’efficacia della forma racemica
L’acido alfa-lipoico commercializzato come integratore alimentare, quando non specificato, è una soluzione racemica di entrambi gli isomeri S e R. Invece R-ALA, la forma naturale di ALA biologicamente attiva, è comunemente legata al sodio (Na-R-ALA) come sale di sodio.
Non è stato ancora stabilito chiaramente quale, tra R-ALA, Na-R-ALA o la soluzione racemica sia la forma più adatta per il suo utilizzo. Sebbene a rigor di logica R-ALA sarebbe la forma più appropriata di integratore commerciale, tuttavia, è soggetto a polimerizzazione e viene assorbito in misura sensibilmente inferiore rispetto all’ALA racemico.
È stato dimostrato che la presenza dell’enantiomero S nella miscela racemica impedisce la polimerizzazione di R-ALA in una certa misura, aumentando la sua biodisponibilità (Shay, K. P et al)
Per questo motivo, i migliori nutraceutici o integratori alimentari disponibili sul mercato utilizzano forme altamente purificate di acido alfa-lipoico racemiche per ridurre al minimo la presenza di polimeri, assicurando così stabilità prolungata nel tempo e biodisponibilità ottimale.
Uno sguardo alle applicazioni cliniche
Esamineremo ora brevemente le principali applicazioni cliniche dell’acido alfa-lipoico. Data la complessità dell’argomento, ciascuna di queste applicazioni terapeutiche sarà oggetto di un approfondimento specifico in prossimi articoli dedicati.
Diabete mellito e Neuropatia diabetica
L’applicazione clinica più consolidata dell’ALA riguarda il trattamento del diabete mellito e delle sue complicanze, in particolare la neuropatia diabetica periferica.
Numerosi studi clinici randomizzati e controllati hanno dimostrato che l’integrazione con ALA (300-600 mg/die) produce:
- Miglioramento della Sensibilità Insulinica: L’ALA potenzia l’uptake di glucosio da parte delle cellule muscolari e adipose, migliorando il controllo glicemico nei pazienti diabetici.
- Riduzione dei Sintomi Neuropatici: La somministrazione di ALA ha mostrato efficacia nel ridurre dolore, parestesie e deficit funzionali associati alla neuropatia diabetica.
- Protezione Vascolare: L’ALA contribuisce a preservare la funzione endoteliale e riduce il rischio di complicanze vascolari diabetiche.
L’efficacia dell’ALA nel trattamento della neuropatia diabetica è stata tale che questo composto è attualmente approvato come farmaco in diversi paesi europei per questa specifica indicazione.
Malattie cardiovascolari
Le proprietà cardioprotettive dell’ALA sono state documentate in diversi contesti clinici:
- Ipertensione Arteriosa: L’integrazione con ALA ha mostrato effetti benefici sulla pressione arteriosa, probabilmente attraverso il miglioramento della funzione endoteliale e la riduzione dello stress ossidativo vascolare.
- Dislipidemia: L’ALA contribuisce a ridurre i livelli di colesterolo LDL ossidato, una forma particolarmente aterogena delle lipoproteine a bassa densità.
- Prevenzione dell’Aterosclerosi: Gli studi hanno suggerito che l’ALA può rallentare la progressione dell’aterosclerosi attraverso meccanismi anti-infiammatori e antiossidanti.
Malattie neurodegenerative
Sebbene la ricerca clinica sulle malattie neurodegenerative sia ancora in fase di sviluppo, i risultati preliminari sono promettenti:
- Malattia di Alzheimer: Studi pilota hanno suggerito che l’ALA può rallentare il declino cognitivo e ridurre i marker di neurodegenerazione.
- Malattia di Parkinson: L’integrazione con ALA ha mostrato potenziali benefici sulla funzione motoria e sulla qualità della vita nei pazienti parkinsoniani.
- Invecchiamento Cerebrale: L’ALA può contribuire a preservare la funzione cognitiva durante l’invecchiamento fisiologico.
Nuove applicazioni terapeutiche
La ricerca sta esplorando l’utilizzo dell’ALA in nuovi contesti clinici:
- Oncologia: Studi preliminari suggeriscono potenziali effetti chemiopreventivi e di supporto nelle terapie oncologiche.
- Malattie Autoimmuni: L’azione immunomodulante dell’ALA potrebbe essere utile in condizioni come l’artrite reumatoide e le malattie infiammatorie intestinali.
- Invecchiamento: L’ALA è oggetto di studio come potenziale agente anti-aging per la sua capacità di contrastare i processi ossidativi associati all’invecchiamento cellulare.
Conclusioni
L’acido alfa-lipoico rappresenta molto più di un semplice antiossidante. La sua capacità di agire simultaneamente come scavenger di radicali liberi, rigeneratore di antiossidanti endogeni, chelante di metalli proossidanti e modulatore infiammatorio lo rende un composto unico nel panorama della medicina preventiva e terapeutica.
Le evidenze scientifiche accumulate negli ultimi decenni hanno solidamente stabilito l’efficacia dell’ALA in diverse condizioni cliniche, con particolare eccellenza nel trattamento del diabete e delle sue complicanze. Il profilo di sicurezza favorevole e la disponibilità di formulazioni sempre più raffinate rendono l’ALA un candidato ideale per strategie terapeutiche integrate volte alla prevenzione e al trattamento delle patologie croniche associate allo stress ossidativo.
Tuttavia, come per ogni intervento terapeutico, è fondamentale che l’utilizzo dell’ALA avvenga sotto appropriata supervisione medica, particolarmente in pazienti con patologie concomitanti o in terapia farmacologica. La continua ricerca scientifica e lo sviluppo di nuove formulazioni promettono di ampliare ulteriormente le applicazioni cliniche di questo straordinario composto naturale.
Riconoscimenti
Questo approfondimento scientifico si basa sui risultati dello studio:
Superti, F., & Russo, R. (2024). “Alpha Lipoic Acid: Biological Mechanisms and Health Benefits”. Antioxidants, Volume 13, Numero 10, Articolo 1234. Disponibile su PubMed Central: PMC11505271. https://www.mdpi.com/2076-3921/13/10/1228#B53-antioxidants-13-01228
Pubblicità



